Loading...

তৃতীয় অধ্যায় | বীজগাণিতিক রাশি


বীজগাণিতিক রাশি


বর্গ সংবলিত সূত্রাবলি 1-4


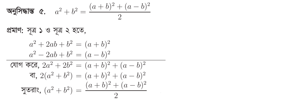
বর্গ সংবলিত সূত্রাবলি 5


অনুসিদ্ধান্ত ৬


বর্গ সংবলিত সূত্রাবলি 3,4,5


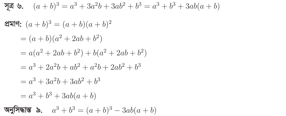
ঘন সংবলিত সূত্রাবলি 6


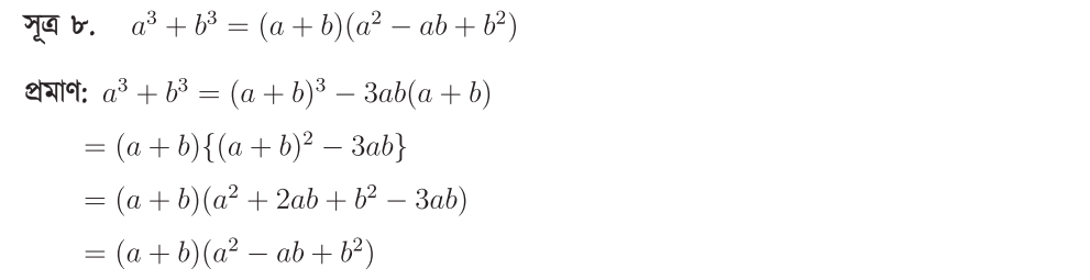
ঘন সংবলিত সূত্রাবলি 7


ঘন সংবলিত সূত্রাবলি 8


ঘন সংবলিত সূত্রাবলি 9


উৎপাদকে বিশ্লেষণ (Factorization)


সরল মধ্যপদ বিভক্তিকরণ


যৌগিক মধ্যপদ বিশ্লেষণ


ভগ্নাংশসহগযুক্ত রাশির উৎপাদক


+880 1646568644