Loading...
School
Class VI
গণিত (Mathematics)
Class VII
গণিত (Mathematics)
Class VIII
গণিত (Mathematics)
Class IX - X
Bangla
English
গণিত (Mathematics)
Science
Digital Technology
উচচতর গণিত
College
Class XI
Mathematics 1st Paper
ICT
পদার্থবিজ্ঞান ১ম পত্র (Physics 1st Paper)
রসায়ন ১ম পত্র (Chemistry 1st paper)
Class XII
Mathematics 2nd Paper
University
Admission
Professional
Job
Buy
login / Sign up
Class IX - X | গণিত (Mathematics)
Home
Class IX - X
গণিত (Mathematics)
Exercise
চতর্থ অধ্যায় | সূচক ও লগারিদম
Coming Soon
Coming Soon
Coming Soon
Coming Soon
Coming Soon
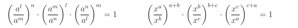
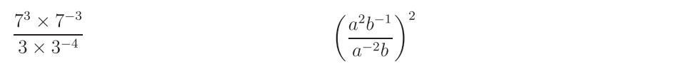
১,২
Coming Soon
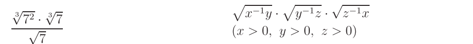
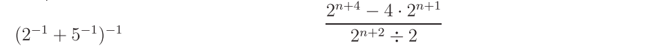
৩,৪
Coming Soon
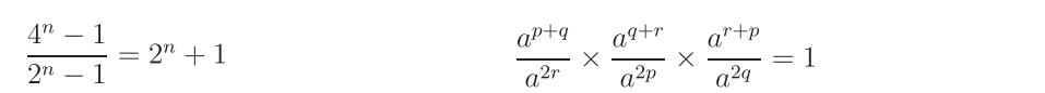
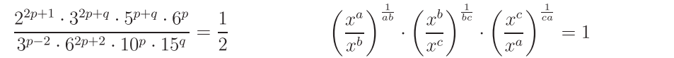
৫,৬
Coming Soon
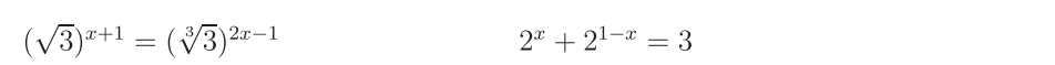
৭,৮
Coming Soon
৯,১২
Coming Soon
১০,১৩
Coming Soon
১১,১৪
Coming Soon
১৫
Coming Soon
১৭,১৮
Coming Soon
১৯,২০।
Coming Soon
২১.
Coming Soon
২২.
Coming Soon
Basic Class
Test Paper
Made Easy
Test Exam
MCQ Exam
CQ Exam
Exercise
অনুশীলনী ৪.১
অনুশীলনী ৪.২
অনুশীলনী ৪.৩
Chapters
☎
+880 1646568644
Download Our Android App
×
Application development are processing
App will coming soon!