Loading...
School
Class VI
গণিত (Mathematics)
Class VII
গণিত (Mathematics)
Class VIII
গণিত (Mathematics)
Class IX - X
Bangla
English
গণিত (Mathematics)
Science
Digital Technology
উচচতর গণিত
College
Class XI
Mathematics 1st Paper
ICT
পদার্থবিজ্ঞান ১ম পত্র (Physics 1st Paper)
রসায়ন ১ম পত্র (Chemistry 1st paper)
Class XII
Mathematics 2nd Paper
University
Admission
Professional
Job
Buy
login / Sign up
Class IX - X | গণিত (Mathematics)
Home
Class IX - X
গণিত (Mathematics)
Exercise
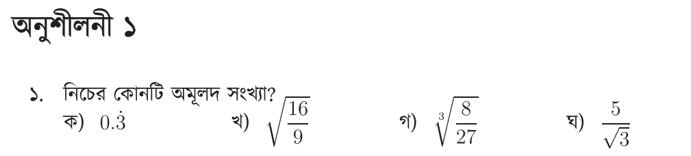
প্রথম অধ্যায় | বাস্তব সংখ্যা
Coming Soon
Coming Soon
Coming Soon
Coming Soon
Coming Soon
Coming Soon
Coming Soon
Coming Soon
Coming Soon
Coming Soon
Coming Soon
Coming Soon
Coming Soon
Coming Soon
Coming Soon
Coming Soon
Coming Soon
Coming Soon
Coming Soon
Coming Soon
Coming Soon
Coming Soon
০২.
Coming Soon
০৩.
Coming Soon
০৪.
Coming Soon
০৫.
Coming Soon
০৬.
Coming Soon
০৭.
Coming Soon
০৮.
Coming Soon
০৯.
Coming Soon
১০.
Coming Soon
১১.
Coming Soon
১২.
Coming Soon
১৩.
Coming Soon
১৪.
Coming Soon
১৫.
Coming Soon
১৬.
Coming Soon
১৭.
Coming Soon
১৮.
Coming Soon
১৯.
Coming Soon
২০.
Coming Soon
২১.
Coming Soon
২২.
Coming Soon
২৩
Coming Soon
Basic Class
Test Paper
Made Easy
Test Exam
MCQ Exam
CQ Exam
Exercise
অনুশীলনী
অনুশীলনী (পুরাতন কারিকুলাম)
Chapters
☎
+880 1646568644
Download Our Android App
×
Application development are processing
App will coming soon!