Loading...
School
Class VI
গণিত (Mathematics)
Class VII
গণিত (Mathematics)
Class VIII
গণিত (Mathematics)
Class IX - X
Bangla
English
গণিত (Mathematics)
Science
Digital Technology
উচচতর গণিত
College
Class XI
Mathematics 1st Paper
ICT
পদার্থবিজ্ঞান ১ম পত্র (Physics 1st Paper)
রসায়ন ১ম পত্র (Chemistry 1st paper)
Class XII
Mathematics 2nd Paper
University
Admission
Professional
Job
Buy
login / Sign up
Class VIII | গণিত (Mathematics)
Home
Class VIII
গণিত (Mathematics)
Basic Class
চতুর্থ অধ্যায় । বীজগণিতীয় সূত্রাবলি ও প্রয়োগ
৪.১
বীজগণিতীয় সূত্রাবলি
Coming Soon
৪.২
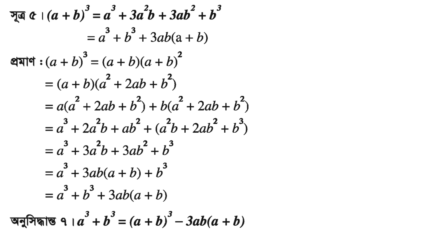
ঘনফলের সূত্রাবলি ও অনুসিদ্ধান্ত
Coming Soon
৪.৩
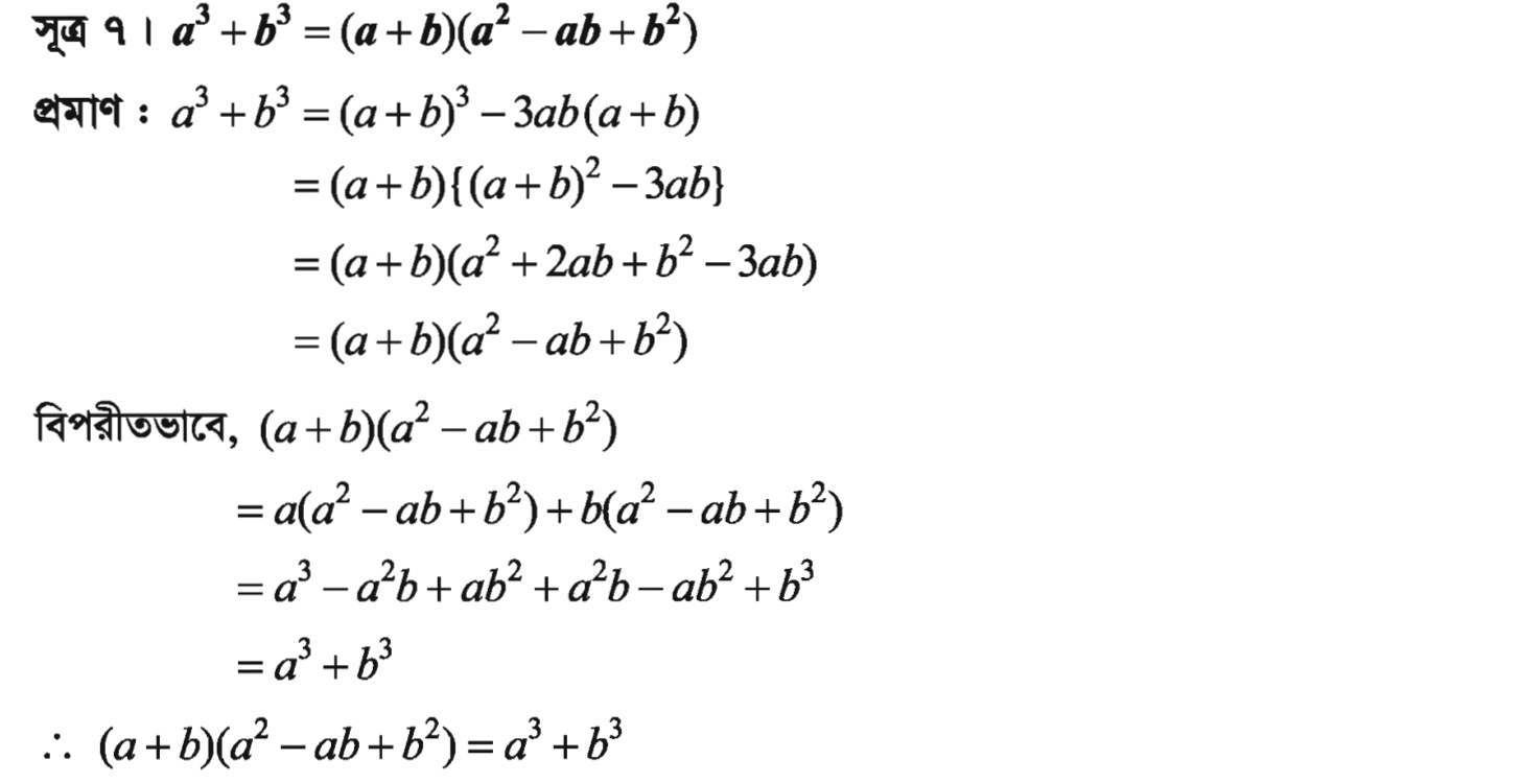
ঘনফলের সাথে সম্পৃক্ত আরও দুটি সূত্র
Coming Soon
৪.৪
উৎপাদকে বিশ্লেষণ
Coming Soon
৪.৫
Coming Soon
৪.৬
Coming Soon
৪.৭
বীজগণিতীয় রাশির গ.সা.গু ও ল.সা.গু
Coming Soon
Basic Class
Test Paper
Made Easy
Test Exam
MCQ Exam
CQ Exam
Exercise
অনুশীলনী ৪.১
অনুশীলনী ৪.২
অনুশীলনী ৪.৩
অনুশীলনী ৪.৪
Chapters
☎
+880 1646568644
Download Our Android App
×
Application development are processing
App will coming soon!