Loading...
School
Class VI
গণিত (Mathematics)
Class VII
গণিত (Mathematics)
Class VIII
গণিত (Mathematics)
Class IX - X
Bangla
English
গণিত (Mathematics)
Science
Digital Technology
উচচতর গণিত
College
Class XI
Mathematics 1st Paper
ICT
পদার্থবিজ্ঞান ১ম পত্র (Physics 1st Paper)
রসায়ন ১ম পত্র (Chemistry 1st paper)
Class XII
Mathematics 2nd Paper
University
Admission
Professional
Job
Buy
login / Sign up
Class VIII | গণিত (Mathematics)
Home
Class VIII
গণিত (Mathematics)
Exercise
চতুর্থ অধ্যায় । বীজগণিতীয় সূত্রাবলি ও প্রয়োগ
Coming Soon
Coming Soon
Coming Soon
Coming Soon
Coming Soon
Coming Soon
১
Coming Soon
২
Coming Soon
৩
Coming Soon
৪
Coming Soon
৫
Coming Soon
৬
Coming Soon
৭
Coming Soon
৮
Coming Soon
৯
Coming Soon
১০
Coming Soon
১১
Coming Soon
১২
Coming Soon
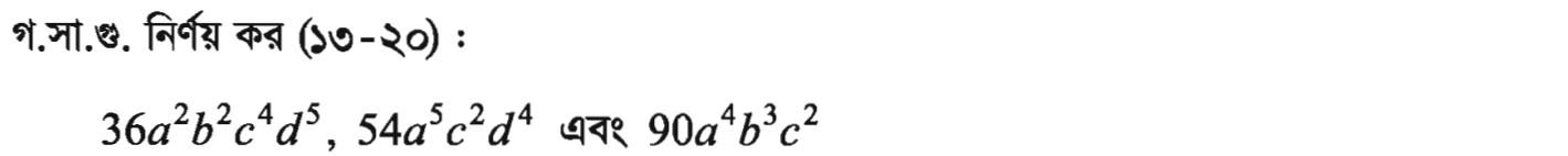
১৩
Coming Soon
১৪
Coming Soon
১৫
Coming Soon
১৬
Coming Soon
১৭
Coming Soon
১৮
Coming Soon
১৯
Coming Soon
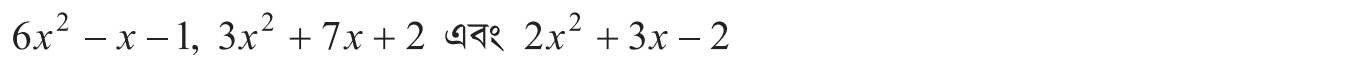
২০
Coming Soon
২১
Coming Soon
২২
Coming Soon
২৩
Coming Soon
২৪
Coming Soon
২৫
Coming Soon
২৬
Coming Soon
২৭
Coming Soon
২৮
Coming Soon
২৯
Coming Soon
৩০
Coming Soon
৩১
Coming Soon
Basic Class
Test Paper
Made Easy
Test Exam
MCQ Exam
CQ Exam
Exercise
অনুশীলনী ৪.১
অনুশীলনী ৪.২
অনুশীলনী ৪.৩
অনুশীলনী ৪.৪
Chapters
☎
+880 1646568644
Download Our Android App
×
Application development are processing
App will coming soon!